1. How matrices transform space


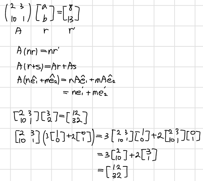
- 행렬의 곱을 단위벡터와의 곱으로 변환할 수 있다. 이때 분배법칙을 이용한다.
2. Types of matrix transformation
possible sorts of changes we can do with a matrix

3. Composition or combination of matrix transformations

- 행렬의 곱은 순서를 다르게 하면 동일한 결과가 보장되지 않는다.(isn't commutative, 교환 법칙 x)
- 하지만 결합 법칙은 성립할 수 있다.(associative)
- 행렬의 곱은 변환에 변환을 적용한 것으로 이해할 수 있다.
4. Using matrices to make transformations(Quiz 6)
- 행렬 곱 계산 2문제
- 행렬이 표현하는 사상을 고르는 유형 1문제
- 이미지를 보고 원래대로 돌려놓기 위한 행렬을 고르는 유형 1문제
출처: Coursera, Mathematics for Machine Learning: Linear Algebra, Imperial College London
'Linear Algebra > 3주차' 카테고리의 다른 글
| Special matrices and Coding up some matrix operations (0) | 2022.09.17 |
|---|---|
| Matrix Inverses (0) | 2022.09.17 |